PYVGX

1. Setup

pip install pyvgx
  • Python: 3.9 or higher

  • macOS: 14 (Sonoma) or higher

  • Linux: glibc 2.34 or higher (e.g. Ubuntu 22.04+)

  • Windows: 10 or higher

You can build the package yourself if needed: Instructions here.

2. Introduction

This tutorial is meant to get you started with PyVGX, a Python module exposing the VGX engine via C extensions. We focus on the graph capabilities of pyvgx here since graph structures often form the basis of service implementations.

Before we begin let’s try a Simple Graph Example and Hello World Service

2.1. Simple Graph Example

Create some nodes and run a query
import pyvgx

# Make some friends
graph = pyvgx.Graph( "friends" )
graph.Connect( "Alice", "knows", "Bob" )
graph.Connect( "Alice", "knows", "Charlie" )
graph.Connect( "Alice", "knows", "Diane" )
graph.Connect( "Charlie", "likes", "coffee" )

# Which of Alice's friends likes coffee?
graph.Neighborhood(
    "Alice",
    arc      = "knows",
    neighbor = {
        'arc'      : "likes",
        'neighbor' : "coffee"
    }
) # -> ['Charlie']

2.2. Hello World Service

Here is a complete implementation of a basic hello world service. The request/response framework is general purpose and, as you can see, no graph operations are required to build a service. You can use the graph capabilities in pyvgx to create service back-ends if you want, but you are also free to import and use any other Python modules needed.

Step 1: Complete code for Hello World Service
import pyvgx

# Use 'hello' directory for storage
# and start HTTP server on port 9000
pyvgx.system.Initialize( "hello", http=9000 )

# This is a plugin
def hello( request:pyvgx.PluginRequest, message:str ):
  return "Hello, you said '{}'".format( message )

# Make it visible
pyvgx.system.AddPlugin( hello )

# Run until SIGINT
pyvgx.system.RunServer()
Step 2: Test the service
curl -s http://127.0.0.1:9000/vgx/plugin/hello?message=hi | jq
Step 3: Inspect the response
{
    "status": "OK",
    "response": "Hello, you said 'hi'",
    "level": 0,
    "partitions": null,
    "exec_ms": 0.061
}

A full description of how to make plugins and deploy services can be found here:

2.3. Quick Note about Multithreading

When you call API methods like Connect() and Neighborhood() the calling thread leaves the Python interpreter (releases the GIL) and performs all execution within the low level core library. This means multiple concurrent Python threads can execute simultaneously.

The GIL is obviously in effect when running your plugin’s pure Python code, but it is released for the duration of most pyvgx API calls.

Try to minimize the amount of pure Python you write to implement algorithms, especially tight loops and time consuming operations on Python objects such as lists and dictionaries. Instead, learn the pyvgx API and see if you can find ways to construct queries to perform all the work for you. Use the expression language in graph queries for access to platform native memory arrays and operations which let you write efficient algorithms that bypass the Python interpreter.

3. Building Graphs

Let’s make some graphs using the pyvgx API and explain basic terminology.

3.1. Import, Initialize and Make a New Graph

First we need to import pyvgx and initialize the system to create our graph.

# Import the contents of pyvgx
from pyvgx import *

# Initialize pyvgx by declaring a home directory for data
system.Initialize("data/graph")

# Create a new graph (or restore from disk if it already exists)
g = Graph( "testgraph" )

After running these statements we have a graph object g to play with.

We use CreateVertex() to insert two persons, Alice and Bob.

g.CreateVertex( "Alice", type="person" )
g.CreateVertex( "Bob", type="person" )

3.2. Make a Connection

Let’s pretend Alice likes Bob and we want to represent this in our graph. We use the Connect() method to create the relationship.

tutorial1
g.Connect( "Alice", "likes", "Bob" )

This inserts a directed edge Alice→[likes]→Bob.

We use the term arc to mean directed edge. In pyvgx all edges are directed.

The arc created above has no attributes aside from its type name (likes). Arcs may also have values and other attributes. We will see examples of this later.

3.3. Initial and Terminal Vertices

The objects connected together are called nodes or vertices. We will use vertex and node interchangeably because they mean the same thing. When talking about connected nodes in a directed graph we refer to the start node as the initial (or tail vertex) and the end node as the terminal (or head vertex).

Above, Alice is the initial/tail and Bob is the terminal/head for the likes arc. If Bob also likes Alice we could insert another arc going the opposite direction. This would reverse the initial/terminal vertex roles for that arc. We only refer to initials and terminals in relation to the arc that connects them.

Be aware that inserting an arc implicitly creates another hidden reverse arc to support queries that need to traverse the graph in reverse. The hidden reverse arc is an internal implementation detail and should not be misunderstood to mean bidirectional relationship.

It is NOT necessary to explicitly create the reverse arc to be able to traverse in reverse. If you did there would be four arcs between the nodes!

Arcs consume memory. For algorithms that only need forward traversal you can suppress creation of the implicit reverse arc via the M_FWDONLY modifier bitmask when calling Connect().

tutorial2
Figure 1. Implicit reverse arc

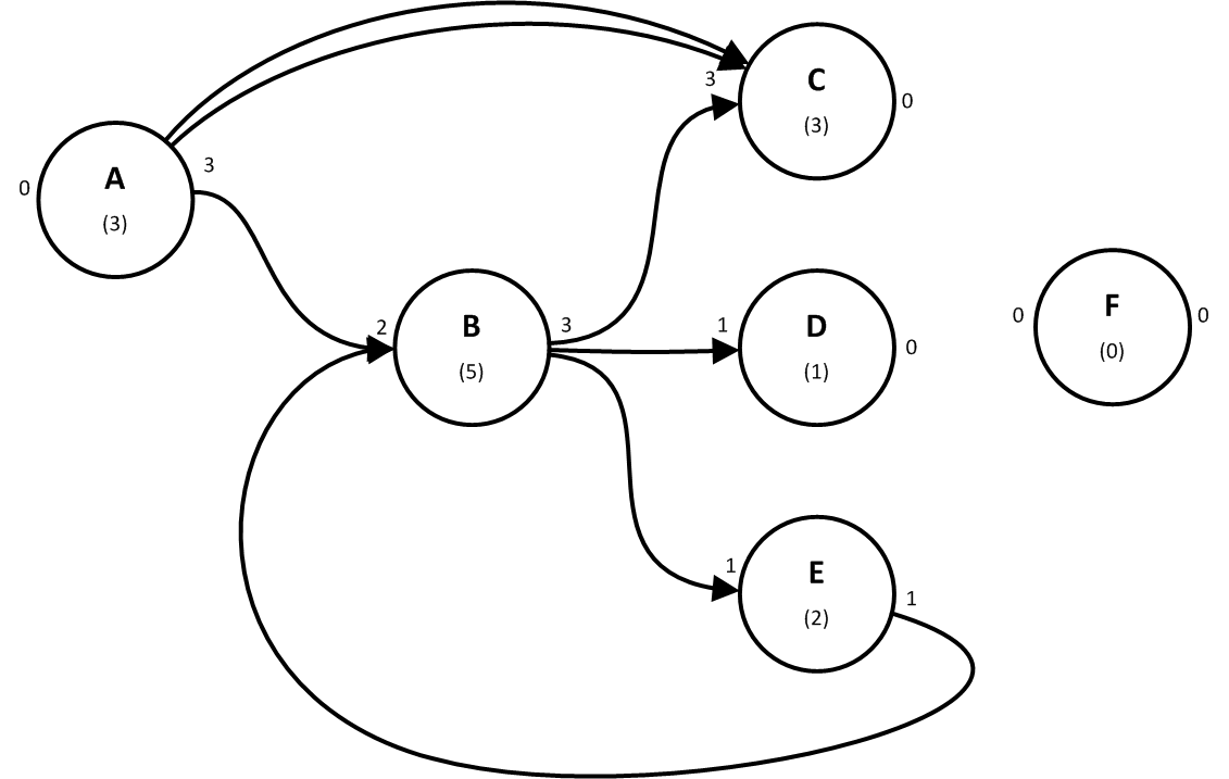
3.4. Arcs and Degree

Arcs leaving a vertex are called outarcs, and the number of outarcs leaving a vertex is the vertex outdegree.

Arcs arriving at a vertex from somewhere else are called inarcs, and the number of inarcs entering a vertex is the vertex indegree.

The vertex degree is the sum of its outdegree and indegree.

For example, vertex B below has three outarcs and two inarcs, and therefore outdegree=3, indegree=2 and degree=5.

tutorial3
Figure 2. Outarcs, inarcs, and degree

When an initial vertex is connected to a terminal with exactly one arc we call this arc a simple arc. An initial vertex can also be connected by more than one arc to the same terminal. We call this a multiple arc. The degree accounts for all individual arcs, including each member of a multiple arc. For example, A above has a multiple arc to C.

Vertices are sometimes classified according to their inarcs and outarcs. A vertex with one or more outarcs but no inarcs is called a source. In the figure above A is the only source. A vertex with one or more inarcs but no outarcs is called a sink. In the figure above C and D are sinks. A vertex with both inarcs and outarcs is called internal. In the figure above B and E are internal. A vertex with no arcs is called isolated. In the figure above F is the only isolated vertex.

3.5. Virtual and Real Vertices

In pyvgx vertices are either real or virtual. A vertex created explicitly with CreateVertex() or NewVertex() is a real vertex. However, it is possible to create a new node in the graph implicitly by connecting an arc from an existing node to another node that does not already exist. I.e. when Connect() specifies a non-existent terminal, the terminal will be implicitly created as a virtual vertex. The terminal is created only to serve as a destination for the arc.

If the initial vertex does not exist (or exists as a virtual vertex) Connect() will implicitly create a real vertex (or convert the virtual to real.) In this case the vertex will have no type, just as if CreateVertex() were called prior to Connect() without a type parameter.

For example:

# "Alice" and "Bob" already exist and are connected

# Implicitly create "Charlie" as VIRTUAL
g.Connect( "Alice", "visits", "Charlie" )

# "Charlie" becomes REAL, "coffee" is new VIRTUAL
g.Connect( "Charlie", "drinks", "coffee" )

Our graph now looks like this:

tutorial4
Figure 3. REAL and VIRTUAL vertices
The type of a typeless vertex is the reserved string "__vertex__".

A virtual vertex automatically disappears from the graph when it no longer has any inarcs. If Charlie no longer drinks coffee then once the drinks arc is disconnected coffee is automatically deleted. However, if Alice no longer visits Charlie then once the visits arc is disconnected Charlie will still continue to exist.

Another scenario arises if Charlie is explicitly removed. When Charlie is deleted all of Charlie's outarcs are also removed, which means coffee will be deleted too. However, since Charlie has inarcs it will continue to exist in the graph to serve as destination for Alice's visits. Charlie is therefore converted to virtual. In other words, deleting a node from the graph will remove the node’s outarcs but will not remove the node’s inarcs. If the deleted node has inarcs then the node will remain in the graph as a virtual node.

# Charlie is converted to virtual
g.DeleteVertex( "Charlie" )
tutorial5

3.6. Run a Simple Query

Let’s see how Alice is connected:

g.Neighborhood( "Alice" )

This query returns all of Alice's outarcs. The result of the query looks like this:

[ 'Bob', 'Charlie' ]

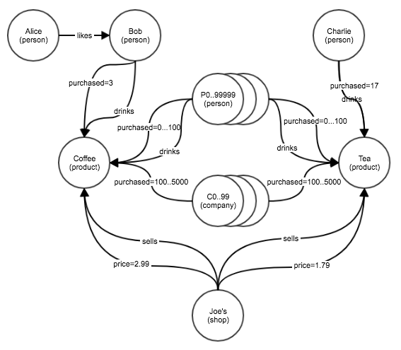
4. A More Complex Graph

We will now create the graph shown below and run some queries.

tutorial6

4.1. Create the Graph

The following code will generate the graph shown in the picture above (with some random elements.) Notice how most Persons and Companies will be connected to Coffee or Tea through drinks and purchased relationships.

(You should be able to copy-paste this entire code snippet and run it.)

# ======== Let's create all the vertices first ========

# Person P0-P99999
for n in range( 100000 ):
    r = g.CreateVertex( f"P{n}", type="person" )

# Company C0-C99
for n in range( 100 ):
    r = g.CreateVertex( f"C{n}", type="company" )

Alice = g.NewVertex( "Alice", type="person" )
Bob = g.NewVertex( "Bob", type="person" )
g.Connect( Alice, "visits", "Charlie" )
Charlie = g.OpenVertex( "Charlie" )
Coffee = g.NewVertex( "Coffee", type="product" )
Tea = g.NewVertex( "Tea", type="product" )
Joes = g.NewVertex( "Joe's", type="shop" )

# ======== Hook up everything as shown in the diagram above ========
g.Connect( Alice, "likes", Bob )
g.Connect( Bob, "drinks", Coffee )
g.Count( Bob, "purchased", Coffee )
g.Count( Bob, "purchased", Coffee )
g.Count( Bob, "purchased", Coffee )
g.Connect( Charlie, "drinks", Tea )
g.Count( Charlie, "drinks", Tea, 17 )

# Some random behaviors
import random
random.seed( 1234 )
# Person P0-P99999 behavior
for n in range( 100000 ):
    Pn = f"P{n}"
    if random.random() > 0.1:
        r = g.Connect( Pn, "drinks", Coffee )
        how_many = int(random.lognormvariate(2,0.5))
        r = g.Count( Pn, "purchased", Coffee, how_many )
    if random.random() > 0.3:
        r = g.Connect( Pn, "drinks", Tea )
        how_many = int(random.lognormvariate(2,0.5))
        r = g.Count( Pn, "purchased", Tea, how_many  )

# Company C0-C99 behavior
for n in range( 100 ):
    Cn = f"C{n}"
    how_many = int(random.lognormvariate(6,0.3))
    r = g.Count( Cn, "purchased", Coffee, how_many )
    how_many = int(random.lognormvariate(6,0.2))
    r = g.Count( Cn, "purchased", Tea, how_many  )

g.Connect( Joes, "sells", Coffee )
g.Connect( initial=Joes, arc=("price",M_FLT,2.99), terminal=Coffee )
g.Connect( Joes, "sells", Tea )
g.Connect( Joes, ("price",M_FLT,1.79), Tea )

g.CloseAll()

This example uses NewVertex() and OpenVertex() to acquire the vertices and return vertex objects that can later be used with other graph methods. Most graph methods that take an identifier string as argument can also take a Python Vertex object in its place. Not only is this more efficient for repeated uses of the vertex but it also ensures the operations will succeed (and not time out) since the vertices are already acquired by the current thread. When all operations have completed we use CloseAll() to release (and commit) all open vertices. This makes the vertices available for other threads.

The example also illustrates how to create arcs with values using the general syntax:

arc = ( [ <relationship> [ , <modifier> [ , <value> ] ] ] )

4.2. Run Some Queries

We are now ready to run a few search queries on the graph. Some commonly used query methods are:

  • Neighborhood(): Search the vertices adjacent to an anchor vertex.

  • Vertices(): Search all vertices in a graph.

  • Aggregate(): Count the number of adjacent vertices and the total sum of numeric properties of the neighborhood such as relationship values and vertex degree.

A complete description of all query methods can be found in the query methods reference.

4.2.1. Query 1: Who purchased the most Coffee?

top5_coffee = g.Neighborhood(
    id       = "Coffee",
    arc      = ("purchased", D_IN, M_CNT),
    neighbor = {'type' : 'person'},
    result   = R_DICT|R_METAS,
    fields   = F_ID|F_VAL,
    hits     = 5,
    sortby   = S_VAL|S_DESC
)

This query performs a neighborhood search around Coffee looking for all inbound (D_IN) purchased relationships with the counter modifier (M_CNT) originating at a vertex of type person, and returns those with the highest value for the purchased counter.

The result is a sorted list (S_VAL) of dictionaries (R_DICT), each containing the vertex id (F_ID) and the purchased counter value (F_VAL).

Several pre-defined pyvgx constants, such as D_IN, M_CNT, and S_VAL, are used in the query. D_IN stands for "direction = inbound", M_CNT stands for "value modifier = counter", and S_VAL stands for "sort by relationship predicator value."

Predicator is sometimes used to describe the whole of the relationship type (e.g. "purchased") along with its modifier (e.g. M_CNT) and its value (e.g. 20).

The M_CNT modifier has automatic behavior in that Connect() increments the arc value by a specified amount, whereas M_INT or M_FLT assign a value. Other modifiers with automatic behavior include M_ACC and M_TMX. The latter is used to expire a relationship at a future point in time.

The arc= parameter takes a predicator. Not all parts of the predicator have to be supplied. We will see a few variants in the next queries below.

4.2.2. Query 2: How much do Companies spend on Tea?

#
tea_price = g.ArcValue( "Tea", ("price",D_IN), "Joe's" )
tea_purchases = g.Aggregate(
    "Tea",
    arc      = ("purchased",D_IN,M_CNT),
    neighbor = {'type':'company'}
)['predicator_value']
total = tea_price * tea_purchases

Here we use two queries to gather the information needed to answer the question.

First, we get the price of Tea as sold by Joe’s shop using the ArcValue() method.

Second, we get the total number of tea purchases made by companies using Aggregate() to compute the sum of all predicator values in those arcs matching the full set of filter conditions.

Finally, we multiply the two results to get the total cost of tea purchased by companies.

4.2.2.1. Alternative Query (advanced)

It is also possible to compute the same result in a single query:

total = g.Neighborhood(
    id        = "Joe's",
    arc       = "price",
    filter    = "do( store(R1,next.arc.value), store(R2,0) )",
    neighbor  = {
        'id'        : "Tea",
        'arc'       : ("purchased",D_IN),
        'collect'   : C_SCAN,
        'neighbor'  : {
            'type'      : 'company',
            'filter'    : "add( R2, prev.arc.value*load(R1) )"
        }
    },
    select    = "sum: load(R2)",
    result    = R_SIMPLE
)[0]['sum']

This example illustrates how Vertex Conditions combined with the VGX Expression Language and memory arrays can be used to construct powerful queries.

4.2.3. Query 3: How Many People Purchased at Least 20 Coffees and 20 Teas?

result = g.Aggregate(
    id        = "Coffee",
    arc       = ("purchased",D_IN,M_CNT,V_GTE,20),
    neighbor  = {
        'type'      : 'person',
        'arc'       : ("purchased",D_OUT,M_CNT,V_GTE,20),
        'neighbor'  : {
            'id':'Tea'
        }
    }
)

# Persons who purchased both coffee and tea at least 20 times
print( result['neighbors'] )

# Total number of coffees purchased by these persons
print( result['predicator_value'] )

This query uses nested neighborhood conditions. We filter on neighbor’s attributes and the neighbor’s neighbor’s attributes. In this case the neighbor must be a person and it must have a purchased arc to the Tea node.

4.2.4. Query 4: Who Purchased More than 30 Coffees, But No Tea?

only_coffee_drinkers = g.Neighborhood(
    id        = "Coffee",
    result    = R_DICT,
    fields    = F_ID,
    arc       = ("purchased",D_IN,M_CNT,V_GT,30),
    filter    = "next.type == 'person'",
    neighbor  = (False,{
        'arc'      : ("purchased",D_OUT),
        'neighbor' : 'Tea'
    })
)

This query shows how to specify a negative condition. It starts traversal at Coffee and requires a purchased value > 30 coming from a person, and that person must not have a purchased arc going to Tea. The neighbor= condition is a tuple (False, {…​}) to indicate the negative condition.

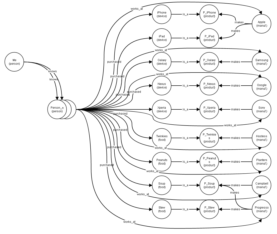
5. Another Complex Graph

Let’s construct a graph with people, products and manufacturers:

tutorial7

Here we have a mix of various products and their manufacturers, along with a population of people, some of whom are friends of the "Me" person.

Let’s create a population of 1,000,000 people who have made purchases at some point in the last year. The "Me" person knows 500 of these people.

g = Graph("friends")

DEVICES = [
  ("iPhone",  "Apple"),
  ("iPad",    "Apple"),
  ("Galaxy",  "Samsung"),
  ("Xperia",  "Sony"),
  ("Nexus",   "Google"),
]

FOODS = [
  ("Twinkies",  "Hostess"),
  ("Peanuts",   "Planters"),
  ("Soup",      "Campbell"),
  ("Soup",      "Progresso"),
  ("Stew",      "Progresso")
]

def make_people( how_many ):
    for n in range( how_many ):
        g.CreateVertex( f"Person_{n}", type="person" )

def employ_people( how_many ):
    companies = list(set([ mfg for thing,mfg in DEVICES+FOODS ]))
    for n in range( how_many ):
        company = companies[ random.randint(0,len(companies)-1) ]
        g.Connect( f"Person_{n}", "works_at", company )

def make_devices():
    for device, manuf in DEVICES:
        D = g.NewVertex( device, type="device" )
        product = f"P_{device}"
        P = g.NewVertex( product, type="product" )
        g.Connect( D, "is_a", P )
        g.Connect( manuf, "makes", P )

def make_foods():
    for food, manuf in FOODS:
        F = g.NewVertex( food, type="food" )
        product = f"P_{food}"
        P = g.NewVertex( product, type="product" )
        g.Connect( F, "is_a", P )
        g.Connect( manuf, "makes", P )

def make_friends( how_many, pick_from ):
    for n in range( how_many ):
        pn = random.randint( 0, pick_from-1 )
        friend = f"Person_{pn}"
        g.Connect( "Me", "knows", friend )

def pick_a_device_maybe():
    if random.random() > 0.33:
        return DEVICES[ random.randint( 0, len(DEVICES)-1 ) ][0]
    else:
        return None

def pick_a_food_maybe():
    if random.random() > 0.33:
        return FOODS[ random.randint( 0, len(FOODS)-1 ) ][0]
    else:
        return None

def run_shopping( how_many_people ):
    for n in range( how_many_people ):
        person = f"Person_{n}"
        device = pick_a_device_maybe()
        if device:
            when = random.randint( 0, 365 ) # days since purchase
            g.Connect( person, ("purchased",M_TMC,when), device )
        food = pick_a_food_maybe()
        if food:
            when = random.randint( 0, 365 ) # days since purchase
            g.Connect( person, ("purchased",M_TMC,when), food )

def setup( how_many_people=1000000, how_many_friends=500 ):
    make_people( how_many_people )
    employ_people( how_many_people // 2 )
    make_devices()
    make_foods()
    g.CreateVertex( "Me", type="person" )
    make_friends( how_many_friends, how_many_people )
    run_shopping( how_many_people )

setup( 1000000, 500 )

There are about 1 million vertices and about 1.8 million arcs is this graph. Now let’s run some queries against it.

But before we do, notice how we created the seemingly unnecessary via-vertices between manufacturers and the devices and foods they make. This is to illustrate a trick which has a huge performance benefit. When running queries it is much faster to filter on arcs when there are few other arcs of the same direction incident on the vertex. Filtering on a vertex' inarcs is faster when the vertex has few inarcs, while the number of outarcs doesn’t matter. Conversely, filtering on a vertex' outarcs is faster when the vertex has few outarcs, while the number of inarcs doesn’t matter. We’ll see the effect of this in the next query.

5.1. Query 5: Which of My Friends Purchased an Apple Device in the Last 30 Days?

apple_friends = g.Neighborhood(
    id       = "Me",
    result   = R_DICT|R_METAS,
    fields   = F_ID,
    arc      = "knows",
    neighbor = {
        'arc'     :("purchased",D_OUT,M_TMC,V_LT,30),
        'neighbor':{
            'type'    :'device',
            'arc'     :("is_a"),
            'neighbor':{
                'type'    :'product',
                'arc'     :("makes",D_IN),
                'neighbor':{
                    'id':'Apple'
                }
            }
        }
    }
)

6. Summary and Next Steps

At this point we have covered some of the things you can do with pyvgx and graphs. We have created vertices and arcs, and performed several types of queries. As you have seen, graphs can be as simple or complex as you need them to be. Graph queries can be simple or recursive, with arbitrarily complex filters.

Some of the features we have not touched on in this tutorial are vertex properties, field select statement, ranking functions, automatic vertex expiration, graph management, and many other functions related to the lifecycle of objects in the graph.

For a complete description of the pyvgx API the pyvgx Reference will teach you everything you need to know.


PYVGX